iconInteresPlus
Info page Image

¿Qué es la Educación Financiera?

La educación financiera se refiere al conjunto de conocimientos, habilidades y competencias necesarias para entender cómo funciona el dinero en la vida cotidiana y cómo tomar decisiones financieras inteligentes. Incluye el aprendizaje sobre temas como el presupuesto personal, el ahorro, la inversión, el manejo del crédito, los impuestos, la planificación para la jubilación y la protección contra riesgos financieros.

El objetivo principal de la educación financiera es capacitar a las personas para que administren sus recursos de manera eficiente, eviten problemas financieros y puedan alcanzar sus metas económicas a corto y largo plazo.

Importancia de la Educación Financiera

La educación financiera es fundamental para el bienestar económico de individuos y comunidades. Proporciona las herramientas necesarias para tomar decisiones financieras informadas, gestionar efectivamente el dinero, planificar para el futuro, y reducir el estrés financiero.

¿Qué son los intereses?

Los intereses son la cantidad de dinero que se paga por el uso del dinero prestado, o la cantidad que se recibe por invertir dinero. Es una herramienta esencial en el mundo financiero, que puede ser tanto una fuente de ingresos como un costo de financiamiento.

Cuando una persona o entidad toma un préstamo, el interés es el monto adicional que debe pagar al prestamista, calculado como un porcentaje del monto prestado, conocido como tasa de interés. Este porcentaje puede ser fijo, manteniéndose constante durante el período del préstamo, o variable, ajustándose según las condiciones del mercado.

Los intereses no solo se aplican a préstamos, sino también a inversiones; cuando alguien invierte dinero en instrumentos financieros como bonos, cuentas de ahorro o certificados de depósito, recibe intereses como compensación por permitir que su dinero sea utilizado por otros.

La acumulación de intereses puede ser simple, calculado únicamente sobre el capital inicial, o compuesto, calculado sobre el capital inicial más los intereses acumulados previamente, lo cual puede resultar en un crecimiento exponencial del valor invertido a lo largo del tiempo.

Los intereses juegan un papel crucial en la economía, influyendo en el comportamiento de los consumidores y empresas, afectando las decisiones de ahorro y gasto, y siendo una herramienta esencial en la política monetaria de los gobiernos y bancos centrales para controlar la inflación y estimular el crecimiento económico.

Interés simple

El interés simple es un método de cálculo de intereses sobre un capital inicial (también conocido como principal) que no se acumula con el tiempo. En otras palabras, el interés se calcula únicamente sobre el monto inicial invertido o prestado durante un período determinado, sin considerar los intereses generados en períodos anteriores. El interés simple se calcula sobre el monto inicial de un préstamo o inversión, y no se compone.

Por ejemplo, si inviertes $1000 a un 5% de interés simple anual, ganarás $50 cada año, sin importar cuánto tiempo dure la inversión.

¿Como se calcula el Interes Simple?

El interés simple es comúnmente utilizado en préstamos a corto plazo y en cuentas de ahorro básicas. Su fórmula es fácil de entender y calcular:

Interés = Principal x Tasa x Tiempo. Esta fórmula refleja que el interés no cambia a lo largo del tiempo manteniéndose constante.

imagen interes simple

El interés (I) es la cantidad total de dinero que se gana o se paga sobre el principal durante un período de tiempo determinado. Este valor es el resultado del cálculo del interés simple y representa el costo o la ganancia adicional sobre el monto principal.

El capital (c) es el monto inicial de dinero invertido o prestado. En la fórmula, es el valor sobre el cual se calculará el interés. Este es el dinero que se pone a trabajar en una inversión o el monto del préstamo que se utiliza como base para calcular los intereses.

La tasa de interés (i) es el porcentaje que se aplica al capital para calcular el interés. En la fórmula, se debe usar en formato decimal. Por ejemplo, si la tasa es del 5%, se debe convertir a 0.05. Esta tasa indica el costo del dinero por unidad de tiempo y se aplica sobre el capital.

Tiempo en Años (t): Esta es la cantidad de años durante los cuales el dinero estará invertido o prestado. Cuanto más tiempo pase, más interés se acumulará.

Ejemplo

Supongamos que tienes una inversión de $1,000 con una tasa de interés simple del 4% anual durante 3 años.

  • Capital (c): $1,000
  • Tasa de Interés (i): 4% o 0.04
  • Tiempo en Años (t): 3 años

Usamos la fórmula para calcular el interés:

I = c ⋅ i ⋅ t

Sustituimos los valores:

I = 1000 ⋅ 0.04 ⋅ 3

I = 1000 ⋅ 0.04 ⋅ 3 = 120

En este caso, el interés ganado o pagado después de 3 años sería $120.

Interés compuesto

El interés compuesto es un método de cálculo de intereses sobre un capital inicial (principal) que incluye la acumulación de los intereses generados en cada período dentro del cálculo para los períodos siguientes. En otras palabras, el interés se calcula no solo sobre el principal inicial, sino también sobre los intereses acumulados de períodos anteriores.

¿Como se calcula el interes Compuesto ?

El interés compuesto es una herramienta poderosa en inversiones a largo plazo, como planes de retiro y fondos de inversión. Se calcula sobre el monto inicial y también sobre cualquier interés acumulado de períodos anteriores. Esto significa que puedes ganar intereses sobre tus intereses, lo cual puede hacer crecer tu inversión de manera exponencial.

Por ejemplo, una inversión de $1000 a un 5% de interés compuesto anual generará $1050 al final del primer año, y los intereses del segundo año se calcularán sobre $1050.

La fórmula general para el interés compuesto es:

imagen interes compuesto

Monto Acumulado (Cf): Este es el total de dinero que tendrás al final del período, incluyendo tanto el principal (el dinero que invertiste o prestaste originalmente) como el interés que se ha acumulado a lo largo del tiempo. Es el objetivo final de tu cálculo.

Capital Inicial (Ci): Este es el monto inicial de dinero que inviertes o prestas. Piensa en él como el punto de partida para calcular cuánto crecerá con el tiempo debido al interés.

Tasa de Interés Anual (r): Esta es la tasa a la que se calcula el interés sobre tu dinero cada año. Se expresa como un porcentaje, pero en la fórmula debe ser en formato decimal. Por ejemplo, una tasa de interés del 5% se escribiría como 0.05.

Número de Períodos de Composición por Año (n): Este es el número de veces al año que el interés se calcula y se añade al principal. Por ejemplo, si el interés se compone mensualmente, n sería 12; si se compone trimestralmente, n sería 4.

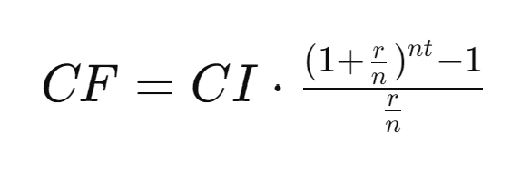
Fórmula del Valor Futuro de las Aportaciones Adicionales

La fórmula del valor futuro de las aportaciones adicionales se utiliza para calcular el monto total que se acumula al hacer una serie de pagos periódicos, aplicando interés compuesto. Este cálculo es fundamental en la planificación financiera y en la inversión, ya que ayuda a prever cuánto crecerán las aportaciones realizadas a lo largo del tiempo.

La fórmula general para el Valor Futuro de las Aportaciones Adicionales:

imagen interes compuesto

Monto Acumulado (CF): Este es el total de dinero que tendrás al final del período, considerando todas las aportaciones adicionales que has realizado, junto con el interés compuesto que se ha acumulado sobre ellas. Es el objetivo final de tu cálculo, que muestra cuánto habrán crecido tus aportaciones a lo largo del tiempo.

Aportación Periódica (CI): Este es el monto que aportas de forma regular en cada período. Es la cantidad de dinero que decides agregar periódicamente a tu inversión o cuenta de ahorro.

Tasa de Interés Anual (r): Esta es la tasa a la que se calcula el interés sobre tus aportaciones cada año. Se expresa como un porcentaje, pero en la fórmula debe ser en formato decimal. Por ejemplo, una tasa de interés del 5% se escribiría como 0.05.

Número de Períodos de Composición por Año (n): Este es el número de veces al año que el interés se calcula y se añade a las aportaciones. Por ejemplo, si el interés se compone mensualmente, n sería 12; si se compone trimestralmente, n sería 4.

Tiempo en Años (t): Este es el número total de años durante los cuales se realizan las aportaciones periódicas. Indica el período durante el cual se calculará el crecimiento del interés compuesto sobre las aportaciones.

¿Para Qué Se Usa Esta Fórmula?

La fórmula del valor futuro de las aportaciones adicionales se usa para:

  • Ahorrar para Metas Específicas: Si estás ahorrando para un objetivo a largo plazo, como un fondo para la educación o la jubilación, puedes usar esta fórmula para calcular cuánto dinero tendrás en el futuro si realizas aportaciones regulares.
  • Invertir Periódicamente: Los inversores que hacen aportaciones regulares a sus inversiones, como en fondos mutuos o cuentas de jubilación, utilizan esta fórmula para calcular el valor futuro de esas inversiones.
  • Planes de Contribución Periódica: Para aquellos que contribuyen periódicamente a una cuenta de inversión, la fórmula proporciona una estimación de cuánto valdrá la cuenta en el futuro.
  • Proyectos de Inversión: Las empresas que realizan inversiones regulares en proyectos o equipos pueden usar la fórmula para prever el valor futuro de sus aportaciones y evaluar la viabilidad del proyecto.

Ejemplo Práctico

Supongamos que decides ahorrar para un objetivo financiero a 10 años y planeas hacer aportaciones mensuales de $100. Sabes que la tasa de interés anual es del 5% y el interés se capitaliza mensualmente. Puedes usar la fórmula del valor futuro de las aportaciones adicionales para calcular cuánto dinero tendrás al final de los 10 años.

Datos del Ejemplo:

  • Aportación mensual (CI): $100
  • Tasa de interés anual (r): 5% o 0.05
  • Frecuencia de capitalización (n): 12 (mensualmente)
  • Número de años (t): 10

Pasos del Cálculo:

  1. 1. Calcular la tasa de interés por período:

    Primero, necesitas dividir la tasa de interés anual por el número de períodos de capitalización en un año. Esto te dará la tasa de interés aplicable a cada período.

    Ejemplo: r/n = 0.05 / 12 ≈ 0.004167

    Esto significa que cada mes, el interés será aproximadamente del 0.42%.

  2. 2. Calcular el número total de períodos (nt):

    Multiplica el número de años por el número de períodos de capitalización por año.

    Ejemplo: nt = 12 * 10 = 120

    Esto indica que el interés se calculará 120 veces durante los 10 años.

  3. 3. Calcular 1 + r/n:

    Este paso consiste en sumar 1 a la tasa de interés por período calculada en el primer paso.

    Ejemplo: 1 + 0.004167 = 1.004167

  4. 4. Elevar 1 + r/n a la potencia de nt:

    Ahora, toma el resultado del paso anterior y elévalo a la potencia del número total de períodos.

    Ejemplo: 1.004167 ^ 120 ≈ 1.647

  5. 5. Restar 1:

    Resta 1 del resultado anterior para obtener el crecimiento total de las aportaciones.

    Ejemplo: 1.647 - 1 = 0.647

  6. 6. Multiplicar por la aportación periódica (CI):

    Multiplica este resultado por la cantidad de la aportación mensual.

    Ejemplo: 100 * 0.647 = 64.7

  7. 7. Dividir por la tasa de interés por período:

    Finalmente, divide el resultado por la tasa de interés por período para obtener el valor futuro de las aportaciones adicionales.

    Ejemplo: 64.7 / 0.004167 ≈ 15,524.91

En este ejemplo, el valor futuro de las aportaciones periódicas sería aproximadamente $15,524.91, mostrando el poder del interés compuesto en el crecimiento de las aportaciones regulares.

Diferencias entre el interes Compuesto y Simple

Básicamente la diferencia está en que en el interés simple, el dinero que generan los intereses se calcula solo sobre el capital invertido al principio (principal) sin tener en cuenta la posible reinversión de los intereses que vaya generando nuestro dinero. Por otro lado, en el interés compuesto los intereses obtenidos se reinvierten creando con el paso del tiempo un efecto bola de nieve y obteniéndose un resultado sensiblemente mayor.

Ambos tipos de interés hacen referencia a la cantidad de dinero que se genera en un período de tiempo en una inversión. Cada una tiene diferencias claves entre el interés simple y compuesto que debes tomar en cuenta.

Interés simple

  • Al iniciar un nuevo período de inversión o crédito este interés se mantiene igual.
  • Se calcula y se paga sobre el capital inicial de la inversión.
  • Una inversión con interés simple significa que las ganancias generadas no son consideradas para ser reinvertidas en el capital.

Interés compuesto

  • Genera sobre el capital al cumplirse el plazo establecido en la inversión o préstamo.
  • En caso de una inversión, las ganancias generadas se suman al capital. Esto significa que al ser reinvertido se toma en cuenta el total del capital más los intereses generados.
  • Con cada nuevo período de inversión se espera que el interés compuesto aumente.

¿Por qué es importante el interés compuesto en tu inversión?

El interés compuesto puede ser una ventaja para los inversionistas a mediano plazo. En el proceso financiero en el que los intereses de cada período se suman al capital inicial para producir nuevos intereses

Aunque ocurre lo contrario para quienes tienen un crédito. Aquí se va generando interés sobre interés, y por lo tanto la deuda se hace interminable. La CONDUSEF recomienda tener un plan para evitar que los intereses de un préstamo se conviertan en un problema.

En el caso de las inversiones las ganancias generadas son sumadas al capital, y si comienza un nuevo período, el interés se calculará sobre la base de este nuevo capital. ¿Esto qué quiere decir? Pues que el interés irá en función del capital anterior más los intereses generados.

El interés compuesto así como puede ser benéfico para los inversionistas a mediano plazo, ocurre lo contrario para quienes tienen un crédito. Este ejemplo lo vemos más recurrentemente en las tarjetas de crédito cuando se paga el mínimo.